Ernst Wilhelm Förstemann (de)
Contents
0. Biographisches
Förstemann wurde am 18.9.1822 in Danzig geboren, studierte nach dem Schulabschluss Vergleichende Sprachwissenschaft in Berlin und Halle (u.a. bei A.F. Pott); Promotion 1844 in Halle; danach Arbeit als Lehrer in verschiedenen Stellungen. Ab 1851 Bibliothekar und Lehrer in Wernigerode, ab 1865 Bibliothekar in verschiedenen Stellungen in Dresden. 1899 Ruhestand. 1900 Übersiedlung nach Berlin, dann Charlottenburg. Er verstarb am 4.11.1906.
I. Förstemanns Plädoyer für Sprachstatistik
Förstemann (1853a: 339) erklärt zur „numerischen methode“, er habe bereits „in frueher jugend“ eine „neigung fuer diese richtung“ gefasst.
Programmatisch sind schon die ersten Sätze in Förstemann (1846: 83): „Wer es gesehn hat, wie die neuere Statistik aus der Betrachtung bloßer Zahlenangaben die überraschendsten Resultate für das Leben und die Fortbildung der Völker erlangt, wird nicht darüber spotten, wenn auch in der Sprachwissenschaft der Versuch gemacht wird, durch Zählung der Sprachindividuen, der Buchstaben, zu einigen Resultaten zu gelangen oder wenigstens schon gefundene Resultate von einer neuen Seite her zu bestätigen. Man weiß z.B., daß gewisse Laute in den Sprachen allmälig entweder häufiger oder seltener werden; sollte es nun nicht von Interesse sein, dieses Steigen oder Sinken mit mathematischer Genauigkeit zu messen und dadurch solche Erscheinungen gegen verwandte ins rechte Licht zu setzen? Sollte man nicht ferner dazu kommen können, von den Veränderungen der Sprachen zwischen je zwei gegebenen Zeitpunkten und den inzwischen verflossenen Zeiträumen Proportionen zu bilden und aus diesen für die größere oder geringere Vitalität einer Sprache zu einer gewissen Zeit ein annähernd sicheres Urteil zu erhalten? So lange man sich wenigstens vor dem Ueberschreiten der vernunftgemäßen Grenze hütet, dürfte diese Methode nicht unergiebig sein.“1
1 Zitate folgen so gut wie möglich dem Original; bei der Wiedergabe der Umlaute und der Schreibung von <ss> wird mangels entsprechender Zeichen eine modernisierte Form verwendet.
In der Fußnote zu dieser Seite heißt es: „Es ist merkwürdig, daß man bisher nie in den Grammatiken an eine solche Lautstatistik gedacht hat, während Buchdrucker und Schriftgießer doch von der Nothwendigkeit eines Theils derselben von jeher überzeugt sind.“
Mit diesen Zitaten soll auf einige Aspekte hingewiesen werden, die für Förstemann und teils auch für die Linguistik seiner Zeit wichtig sind:
● Es sind Einflüsse von außen, die wieder einmal einen Anstoß für Neuerungen in der Linguistik geben. Eines dieser Vorbilder findet Förstemann (1852a: 166) in der Geographie, wo die Proportion von Küstenlänge und Flächeninhalt der Länder thematisiert wird.
● Förstemann verspricht sich durch Verwendung der Statistik teils neue Ergebnisse, teils Bestätigung bereits vorhandenen Wissens durch eine zusätzliche Methode, mit der „mathematische[...] Genauigkeit“ erreicht werden kann.
● Er spricht davon, „Proportionen“ zwischen unterschiedlichen Sprachentwicklungsstadien bilden zu können.
● Charakteristisch für Förstemann ist auch der Hinweis, man müsse sich „vor dem Ueberschreiten der vernunftgemäßen Grenze hüte(n).“ Ähnlich z.B. in Förstemann (1853c: 44).
Die letzten drei Aspekte sind in vielen Arbeiten Förstemanns zu finden, auch die Warnung, keine vorschnellen Schlüsse zu ziehen.
Im Folgenden sollen einige Themen aus Förstemanns Arbeiten vorgestellt werden, soweit sie in einem weiten Sinne als Beiträge zur Quantitativen Linguistik verstanden werden können.
II. Laute und Lautgruppen
In Förstemann (1846) geht es um zwei Aspekte:
1. Es werden „Proportionen“ zwischen den Häufigkeiten von Lauten oder Lautklassen innerhalb des Gotischen, Althochdeutschen, Mittelhochdeutschen und Neuhochdeutschen in Form von Mittelwerten (arithmetisches Mittel) aufgrund mehrerer Zählungen vorgestellt. Man findet u.a. Angaben zum Verhältnis von Konsonanten und Vokalen, zum relativen Anteil der Grundvokale und der Konsonanten, zu den Quotienten zwischen hellen und dunklen Vokalen, zum Anteil verschiedener Konsonantengruppen sowie zur Verteilung von Konsonanten und Vokalen auf Anlaut, Mitte und Auslaut.
2. Die Veränderungen zwischen den genannten Sprachen werden schon dadurch deutlich, dass deren Lautrelationen in der richtigen zeitlichen Anordnung untereinander aufgeführt sind. Förstemann stellt Berechnungen dazu an, bei welchen Übergängen mehr Veränderungen pro Zeiteinheit stattfinden und benutzt diese Befunde, um die Vitalität der Sprache in den einzelnen Zeitabschnitten zu beurteilen.
Panconcelli-Calzia (1941: 47) kommentiert die Untersuchung von 1846: „Förstemann veröffentlicht die erste vollständige Statistik über die Laute im Gotischen, sowie im Alt-, Mittel- und Hochdeutschen. Es ist die erste Arbeit dieser Art, die verdient, als Statistik bezeichnet zu werden.“
Diese Arbeit wird in Förstemann (1852a) fortgesetzt, indem das Deutsche (bzw. das Gotische als ein früher Vertreter der germanischen Sprachen) unter ähnlichen Gesichtspunkten mit dem Griechischen und Lateinischen verglichen wird. Auch hier geht es wieder um die Proportion der Häufigkeit von Konsonanten und Vokalen, um die Proportionen verschiedener Laute und Lautklassen innerhalb der Sprachen und dann auch zwischen ihnen. Er charakterisiert noch einmal seinen Versuch von 1846: Dort habe er versucht „darzuthun, dass durch statistische angaben ueber das vorkommen der einzelnen laute sich resultate ueber die entwickelung der sprachen und ueber das verhältnis der einzelnen idiome zu einander erzielen lassen“ und plädiert dafür, „dass dieser weg der erkenntnis des sprachgeistes und sprachlebens naeher zu kommen, ein erlaubter und förderlicher sei. Denn für manches auf andern wegen erkannte finden wir hier schärfe und genauigkeit, irrthuemer werden hier leicht und schlagend berichtigt, und, täuscht mich nicht alles, so lässt sich sogar von diesem wege aus mehrfach bahn brechen in dunkle und sonst unzugängliche parthien der wissenschaft. Darf man sonst neue bahnen nur mit einer gewissen schüchternheit und in der furcht betreten, festen boden zu verlieren, so giebt uns dagegen hier das mathematische element, als die sicherste sphaere des menschlichen erkennens, vielfach die bürgschaft, dass wir uns aus dem sicher erkannten nicht zu weit in das luftige reich unhaltbarer hypothesen verlieren werden“ (Förstemann 1852a: 164).
Während diese Passage einige Motive der Arbeit von 1846 wiederholt und verstärkt, kommt an späterer Stelle eine neue Idee zur Sprache. Förstemann vergleicht dort die Häufigkeiten, mit denen einzelne Laute in den drei behandelten Sprachen verwendet werden und berechnet daraus Distanzen zwischen ihnen. Dabei kommt heraus, das Griechisch und Gotisch sich stärker voneinander unterscheiden als die beiden anderen Paarungen. Bemerkenswert ist hier der Gedanke, dass man den Abstand zwischen Sprachen berechnen kann. Diesen Gedanken spinnt Förstemann (1852a: 175) weiter aus:
„Bei aufstellung dieser zahlen muss ich mich ausdrücklich gegen den vorwurf verwahren, als masste ich mir an, mit ihnen im allgemeinen den abstand der sprachen von einander auszudrücken. Dazu würden noch andere elemente berücksichtigt werden müssen, wie der abstand in der flexion, der abstand des genus, der abstand des sprachschatzes u.s.w., elemente, bei denen ich die anwendung der mathematischen methode gleichfalls nicht fuer unmoeglich halte. Genau genommen erschöpfe ich durch die mitgetheilten zahlen nicht einmal den l a u t l i c h e n unterschied der sprachen, denn dazu müsste ich auch in anschlag bringen, wie (nach euphonischen gesetzen) die laute in jeder der drei sprachen vereint werden.“
Förstemann nutzt diese Methoden, um der historischen Erforschung der Sprachen zu dienen; seine Untersuchungen sollen die statistische Absicherung der historischen Klassifikation der Sprachen fördern. Er stellt aber nicht nur Vergleiche zwischen Vorgänger- und Nachfolgersprachen an, sondern charakterisiert auch die griechischen Dialekte je für sich und im Vergleich untereinander statistisch (Förstemann 1853d). Knauer (1955: 143) würdigt diese Überlegungen: „Und es dauerte noch bis in die Mitte des 19. Jahrhunderts, bis E. FÖRSTEMANN in mehreren Aufsätzen als erster nicht nur zählte, sondern darauf aufbauend Möglichkeiten der Sprachcharakterisierung durch Feststellung von Lautmengen-Proportionen darlegte.“
Ein weiterer Gedanke wirkt recht modern: So überlegt Förstemann (1852a: 176f.) zunächst auf rein theoretischer, mathematischer Grundlage, wie groß die Distanzen zwischen Sprachen minimal und wie groß sie maximal sein könnten, und schließt dann eine Überlegung dazu an, wie groß diese Differenz bei den Sprachen der Welt tatsächlich sein könnte. Hätte man diese Grenze, dann könnte man alle erforschten Sprachen auf einer Distanzskala zwischen dem minimalen und dem maximalen Distanzgrad anordnen. Er vermutet, dass diese Skala das Verhältnis der Sprachen untereinander als Dialekte, verwandte oder nicht verwandte Sprachen explizieren könnte. In Förstemann (1853c) bezieht er das Sanskrit in seine Lautuntersuchungen ein. Die Untersuchungsaspekte stimmen mit den bereits erwähnten überein: Es geht wieder um Proportionen von Lauten und Lautklassen innerhalb der betrachteten Sprachen und zwischen ihnen. Diese münden in vorsichtigen Verallgemeinerungen, etwa wenn er feststellt, dass bei den vier behandelten Sprachen da, wo der Vokalismus sich stärker verändert, dies auch für den Konsonantismus gilt (Förstemann 1853c: 42f.).
In Förstemann (1853d) geht es um die Lautproportionen griechischer Dialekte. Am bemerkenswertesten ist aus der Sicht der Quantitativen Linguistik die Anfangspassage, in der Förstemann Korrekturen an seinem statistischen Vorgehen darstellt, das bisher auf einer inzwischen als zu wenig repräsentativ erkannten Datenbasis beruhte. Entsprechend erhöht er nun die Textbasis für seine Zählungen erheblich, um auch für die selteneren Laute ein hinreichend sicheres Ergebnis zu gewinnen.
Später findet man eine Statistik zu Lautverschiebungen im Konsonantismus, getrennt nach Anlaut und Inlaut, die er wie folgt kommentiert: „Man ersieht aus diesen statistischen Angaben die Stärke der Erscheinung im Allgemeinen so wie die verhältnismässige Stärke der einzelnen Richtungen, in die sie auseinander geht. Und zur Schätzung der r e l a t i v e n Stärke sind sie völlig brauchbar, wenn auch die Zahlen a b s o l u t keineswegs feststehn (Förstemann 1874: 366).
III. Lexikalische Untersuchungen
Ganz analog zu den Lautuntersuchungen behandelt Förstemann (1852b, 1854) Bezeichnungen für Tiere im Deutschen, Griechischen, Lateinischen und Sanskrit daraufhin, inwieweit diese Sprachen einen gemeinsamen Wortschatz aufweisen, und zwar paarweise ebenso wie insgesamt, denn „...dann ist es zeit, aus den numerischen angaben ueber die zahl der verwandten wörter folgerungen ueber den gegenseitigen l e x i c a l i s c h e n abstand der sprachen zu machen, so wie sie jetzt schon ueber ihren l a u t l i c h e n abstand gemacht werden können. Nur darf man nie erwarten, daß beide arten der sprachdistancen unter einander uebereinstimmen, denn der leblose laut folgt zum theil ganz anderen einflüssen als das beseelte wort“ (Förstemann 1854: 62).
In Förstemann (1874: 100, 280, 452) stellt der Autor dar, wie sich der Erbwortschatz vom Indogermanischen bis zu den Anfängen des Deutschen entwickelt, in dem er aufschlüsselt, wie viele Wörter aus welcher der aufeinanderfolgenden Sprachperioden stammen. Es handelt sich um einen Gesamtwortschatz von 2417 (Förstemann verrechnet sich und gibt 2413 an.), die auf die Wortarten aufgeschlüsselt werden.
IV. Namen
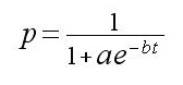
Ein weiterer thematischer Schwerpunkt Förstemanns ist die Namenforschung. Die Quantitative Linguistik hat in diesem Zusammenhang besonders zwei Aufsätze zu entdecken (Förstemann 1852a,d), in denen er Daten und auch Schätzungen zum ererbten Namensbestand vorstellt. In einigen Fällen sind diese Daten geeignet, an ihnen Gesetzeshypothesen zu testen, die die Quantitative Linguistik erst in den letzten Jahrzehnten entwickelt hat. Dazu sollen zwei Beispiele gegeben werden. Als erstes folgt ein Beispiel aus dem sog. Verbrüderungsbuch von St. Peter zu Salzburg, in dem 32 Schreiber hinreichend genau datiert werden können. Förstemann (1852a: 338f.) hat nun Daten zusammengestellt, die zeigen, wie <ai> allmählich in <ei> übergeht. (Förstemann unterscheidet nicht strikt zwischen Buchstaben und Lauten.) Aus diesen Angaben lässt sich die folgende Tabelle 1 erstellen, wobei das logistische Gesetz in der Form
(Altmann 1983: 60) angewendet wird:
Legende: a und b sind die Parameter des Modells; Der Determinationskoeffizient D = 0.9859 zeigt eine sehr gute Übereinstimmung zwischen dem Modell und den Daten an, wie auch die folgende Graphik bestätigt:
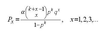
Ein zweiter Aspekt, der sich aus heutiger Perspektive aufgreifen lässt, ist die Diversifikation der „etwas ueber 6000 Personennamen“ nach Wortbildungsstrukturen (Förstemann 1852d: 102, 103). Orientiert man sich dazu an Altmann (1991), kann man als Modell für solche Fälle die erweiterte positive negative Binomialverteilung
verwenden:
Legende: k, p, α sind die Parameter des Modells; FG sind die Freiheitsgrade; X² ist das Chiquadrat; C ist der Diskrepanzkoeffizient, der hier mit C = 0.0028 eine sehr gute Übereinstimmung zwischen Beobachtung und Modell anzeigt, wie auch die Graphik bestätigt:
V. Grammatische Themen
Auch grammatische Verhältnisse werden von Förstemann statistisch erhoben, so die Anzahl starker Verben in den von ihm angenommenen Verbklassen und ihre Einteilung nach Stammauslauten (Förstemann (1874: 577) sowie die Bedeutung der Genitive auf -an und -on (Förstemann 1867).
VI. Weitere Themen Förstemanns
Nur der Vollständigkeit halber sei darauf verwiesen, dass auch die Entzifferung der Maya-Handschriften und die Mundartforschung (vgl. Cherubim 2003: 502) sowie die Volksetymologie (Förstemann 1852c, 1877) zu Förstemanns Arbeitsfeldern zählen. Paalzow (1906) würdigt seine Verdienste als Bibliothekar, geht aber auch auf einige seiner sprachwissenschaftlichen Themen ein.
VII. Nachwirkung
Leo Meyer (1869), den Förstemann (1875: 78) als „meinen Freund“ bezeichnet, nennt – ohne sich an dieser Stelle ausdrücklich auf Förstemann zu beziehen – Zahlenangaben zu Lauthäufigkeiten in einigen indogermanischen Sprachen. Wie Pott (1884: 24) verweisen Zwirner & Zwirner (1935/ 1969: 56) auf Förstemann, der wohl als erster Häufigkeitszählungen von Buchstaben durchgeführt habe. Noch beeindruckender gerät die bereits zitierte Würdigung durch Panconcelli-Calzia (1941). Mehrfach geht Herdan (1966) auf Förstemanns lautstatistische Verdienste ein. Meier (1967: 7, 349, 379) würdigt Förstemann (mit falschem Vornamen!) als den ersten, der Zählungen mit sprachwissenschaftlicher Zielsetzung durchgeführt habe. Dazu ist anzumerken: sprachstatistische Zählungen finden sich schon in Jean Pauls Vorschule der Ästhetik (Jean Paul 1804, ²1813; Best 2005). Knauer (1955: 143) macht aber klar, dass Förstemann nicht nur Zählungen durchführt, sondern diese als Mittel zu wieterreichenden Zwecken, eben der „Sprachcharakterisierung“, einsetzt. Altmann & Lehfeldt (1980: 115) verweisen darauf, dass er auch einer Universalie auf der Spur war, wenn er meinte, „daß das Vorherrschen der Zungenlaute eine gemeinsame Eigenschaft aller menschlichen Sprachen sei.“ Es ist aber auffällig, dass Förstemann trotz dieser Verdienste in etlichen Darstellungen der Geschichte der Sprachwissenschaft keine Erwähnung findet. In Köhlers Bibliographie (1995) ist er immerhin mit drei Arbeiten vertreten, allerdings nicht mit seiner bahnbrechenden Untersuchung von 1846. Hier ist offensichtlich eine Lücke zu schließen.
Auf den indirekten Einfluss Förstemanns - über August Schleicher - auf die russische Linguistik weisen Grzybek & Kelih (2003: 136; 2004: 95) hin.
Förstemanns Idee einer Skala, auf der man alle Sprachen aufgrund ihrer Distanzen einordnen könnte, lässt sich als erstes Konzept zu einer quantitativen Sprachtypologie interpretieren, in der später euklidische Distanzen dazu genutzt werden, um eine Taxonomie von Sprachen zu erarbeiten (Altmann & Lehfeldt 1973).
Während Förstemanns lautstatistische Untersuchungen immerhin eine gewisse Resonanz in der Quantitativen Linguistik gefunden haben, sind seine anderen quantitativen Ansätze offenbar bisher ihrer Aufmerksamkeit entgangen. Dass u.a. auch im Bereich der Namenforschung Entdeckungen zu machen sind, wurde oben bereits an zwei Beispielen demonstriert.
VIII. Abschließende Bemerkung
Nimmt man alles bisher Gesagte zusammen, kann man Ernst Wilhelm Förstemann wohl als einen der ersten Quantitativen Linguisten überhaupt ansehen. Zwar haben andere schon vor ihm einzelne Themen der Quantitativen Linguistik behandelt (vgl. die einschlägigen Beiträge in Glottometrics 6/ 2003ff.); es scheint aber niemanden zu geben, der gleichzeitig mit Förstemann oder gar vor ihm die Statistik in thematisch derart vielfältiger Weise immer wieder eingesetzt hat, um Zustände oder Veränderungen der Sprache darzustellen.
Literatur
- Altmann, Gabriel. 1983. Das Piotrowski-Gesetz und seine Verallgemeinerungen. In: Best, Karl-Heinz & Kohlhase, Jörg (Hrsg.). Exakte Sprachwandelforschung. Göttingen: edition herodot, 54-90.
- Altmann, Gabriel. 1991. Modelling diversification phenomena in language. In: Rothe, Ursula (Hrsg.). Diversification Processes in Language: Grammar. Hagen: Margit Rottmann Medienverlag, 33-46.
- Altmann, Gabriel & Lehfeldt, Werner. 1973. Allgemeine Sprachtypologie. München: Fink.
- Altmann, Gabriel & Lehfeldt, Werner. 1980. Einführung in die Quantitative Phonologie. Bochum: Brockmeier.
- Best, Karl-Heinz. 2005. Jean Paul (1763-1825). (in diesem Band).
- Cherubim, Dieter. 2003. Förstemann, Ernst Wilhelm. In: Herausgegeben und eingeleitet von Christoph König. Internationales Germanistenlexikon 1800-1950. Berlin/ New York: de Gruyter, 502-503.
- Ernst Wilhelm Förstemann. In: Förstemann, Ernst (³1913). Jellinghaus, Hermann v. (Hrsg.). Altdeutsches Namenbuch. Zweiter Band. Orts- und sonstige geographische Namen. Erste Hälfte A-K. 3., völlig neu bearbeitete, um 100 jahre (1100-1200) erweiterte Auflage. Bonn: Peter Hanstein Verlagsbuchhandlung, III-XXVIII.
- Förstemann, Ernst. 1843. Noch etwas über Idisi. Germania 5. 219-221.
- Förstemann, Ernst. 1843. Zur Bedeutungslehre der deutschen Adverbia. Germania 6. 44-51.
- Förstemann, Ernst. 1846. Ueber die numerischen Lautverhältnisse im Deutschen. Germania 7. 83-90.
- Förstemann, Ernst. 1850. Ueber ein künftiges Wörterbuch altdeutscher Eigennamen. Germania 9. 36-62.
- Förstemann, Ernst. 1852a. Numerische lautverhältnisse im Griechischen, Lateinischen und Deutschen. Zeitschrift für vergleichende Sprachforschung auf dem Gebiete des Deutschen, Griechischen und Lateinischen [= Kuhns Zeitschrift] 1. 163-179.
- Förstemann, Ernst. 1852b. Sprachlich-naturhistorisches. Zeitschrift für vergleichende Sprachforschung auf dem Gebiete des Deutschen, Griechischen und Lateinischen [= Kuhns Zeitschrift] 1. 491-506.
- Förstemann, Ernst. 1852c. Ueber deutsche Volksetymologie. Zeitschrift für vergleichende Sprachforschung auf dem Gebiete des Deutschen, Griechischen und Lateinischen [= Kuhns Zeitschrift] 1. 1-25.
- Förstemann, Ernst. 1852d. Die zusammensetzung altdeutscher personennamen. Zeitschrift für vergleichende Sprachforschung auf dem Gebiete des Deutschen, Griechischen und Lateinischen [= Kuhns Zeitschrift] 1. 97-116.
- Förstemann, Ernst. 1853a. Die diphthonge im verbruederungsbuch von St. Peter zu Salzburg. Zeitschrift für vergleichende Sprachforschung auf dem Gebiete des Deutschen, Griechischen und Lateinischen [= Kuhns Zeitschrift] 2. 337-350.
- Förstemann, Ernst. 1853b. Nicht vorhandene Eigennamen. Germania 10. 26-36.
- Förstemann, Ernst. 1853c. Numerische lautbeziehungen des griech., latein. und deutschen zum sanskrit. Zeitschrift für vergleichende Sprachforschung auf dem Gebiete des Deutschen, Griechischen und Lateinischen [= Kuhns Zeitschrift] 2. 35-44.
- Förstemann, Ernst. 1853d. Numerische lautverhältnisse in griechischen dialecten. Zeitschrift für vergleichende Sprachforschung auf dem Gebiete des Deutschen, Griechischen und Lateinischen [= Kuhns Zeitschrift] 2. 401-414.
- Förstemann, Ernst. 1853e. Unorganisch anlautendes H in altdeutschen Personennamen. Germania 10. 37-55.
- Förstemann, Ernst. 1854. Sprachlich-naturhistorisches. Zeitschrift für vergleichende Sprachforschung auf dem Gebiete des Deutschen, Griechischen und Lateinischen [= Kuhns Zeitschrift] 3. 43-62.
- Förstemann, Ernst. 1867. Zur geschichte altdeutscher declination. IV. Der genitivus singularis. Zeitschrift für vergleichende Sprachforschung auf dem Gebiete des Deutschen, Griechischen und Lateinischen [= Kuhns Zeitschrift] 16. 321-343.
- Förstemann, Ernst. 1869, 1870, 1871. Der urdeutsche Sprachschatz. Germania 14 (= NF 2). 337-372. Germania 15 (= NF 3). 385-410. Germania 16 (=NF 4). 414-438.
- Förstemann, Ernst. 1869, 1870, 1871. Straßennamen von Gewerben. Germania 14 (= NF 2). 1-26. Germania 15 (= NF 3). 261-284. Germania 16 (=NF 4). 265-286.
- Förstemann, Ernst. 1872. Assimilation im deutschen. Zeitschrift für vergleichende Sprachforschung auf dem Gebiete des Deutschen, Griechischen und Lateinischen [= Kuhns Zeitschrift] 20. 401-430.
- Förstemann, Ernst. 1874/75. Geschichte des deutschen Sprachstammes. 1. u. 2. Band. Nordhausen: Verlag von Ferd. Förstemann.
- Förstemann, Ernst. 1877. Ueber deutsche Volksetymologie. Zeitschrift für vergleichende Sprachforschung auf dem Gebiete des Deutschen, Griechischen und Lateinischen [= Kuhns Zeitschrift] 23. 375-384.
- Förstemann, Ernst. 1883. Thumelicus. Germania 28. 188-190.
- Grzybek, Peter & Kelih, Emmerich. 2003. Graphemhäufigkeiten (am Beispiel des Russischen). Teil I: Methodologische Vor-Bemerkungen und Anmerkungen zur Geschichte der Erforschung von Graphemhäufigkeiten im Russischen. Anzeiger für Slavische Philologie XXXI. 131-162.
- Grzybek, Peter & Kelih, Emmerich. 2004. Anton Semёnovič Budilovič (1848-1908) - A Forerunner of Quantitative Linguistics in Russia?. Glottometrics 7. 94-96.
- Herdan, Gustav. 1966. The Advanced Theory of Language as Choice and Chance. Berlin/ Heidelberg/ New York: Springer.
- Knauer, Karl. 1955. Grundfragen einer mathematischen Stilistik. Forschungen und Fortschritte 29. 140-149.
- Köhler, Reinhard. 1995. Bibliography of Quantitative Linguistics. With the Assistance of Christiane Hoffmann. Amsterdam: J. Benjamins.
- Meier, Helmut. 1967. Deutsche Sprachstatistik. Zweite erweiterte und verbesserte Aufl. Hildesheim: Olms.
- Meyer, Leo. 1869. Die gothische Sprache. Ihre Lautgestaltung insbesondere im Verhältniss zum Altindischen, Griechischen und Lateinischen. Berlin: Weidmannsche Buchhandlung.
- Paalzow, Hans. 1906. Ernst Förstemann. Zentralblatt für das Bibliothekswesen 23. 552-563.
- Panconcelli-Calzia, Giulio. 1941. Geschichtszahlen der Phonetik. 3000 Jahre Phonetik. Hamburg: Hansischer Gildenverlag. Reprint in: Panconcelli-Calzia. Geschichtszahlen der Phonetik. Quellenatlas der Phonetik. New edition with an English Introduction by Konrad Koerner. Amsterdam/ Philadelphia: John Benjamins.
- Pott, August Friedrich. 1884. Einleitung in die allgemeine Sprachwissenschaft. Internationale Zeitschrift für allgemeine Sprachwissenschaft 1 (= Techmers Zeitschrift). 1-68. Neudruck in: POTT, AUGUST FRIEDRICH. EINLEITUNG IN DIE ALLGEMEINE SPRACHWISSENSCHAFT preceded by the same author’s ZUR LITERATUR DER SPRACHENKUNDE EUROPAS. Newly edited together with a bio-bibliographical sketch of Pott by Paul Horn by E.F.K. KOERNER. With a preface and a new index of names. Amsterdam: John Benjamins 1974, 201-268.
- Zwirner, Eberhard & Ezawa, Kennosuke (Hrsg.). 1969. Phonometrie. Dritter Teil: Spezielle Anwendungen. Basel/ New York: Karger.
- Zwirner, Eberhard & Zwirner, Kurt. 1935. Lauthäufigkeit und Zufallsgesetz. Forschungen und Fortschritte 11, Nr. 4. 43-45. (Auch in: Zwirner & Ezawa (Hrsg.), Dritter Teil: 55-59.)
Quelle
- Karl-Heinz Best: Glottometrics 12, 2006, 75-97





